速达科技(北京)有限公司
安装技术指导
产品详情
技术优势
作用原理
意见反馈
安装技术指导
产品购买
技术优势
作用原理
意见反馈
加盟流程
新闻公告
活动公告
安装技术指导
产品购买
技术优势
作用原理
意见反馈
加盟流程
新闻公告
活动公告
安装技术指导
产品购买
技术优势
作用原理
意见反馈
加盟流程
新闻公告
活动公告
首 页
>
汽车钻石镀膜
>
产品服务
>
作用原理
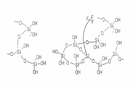
奈米钻石膜生成机制
利用溶胶凝胶法于有机溶剂中,合成出如下图所示粒子直径在100奈米以下的胶状体,并结合其他高分子材料形成奈米钻石镀膜溶液。
当喷涂于烤漆表面时,奈米硅溶胶与配方中之其他组成混杂堆栈于烤漆表面,当溶剂挥发后,硅溶胶自组装于烤漆表面,形成一硬度为2H~3H的薄膜,并于此薄膜上长出低表面能的奈米级纤毛。空气可包覆其中。水泼洒于其上时,由于水的表面张力,与界面的低表面能相斥,而聚成球状,又因其下含有空气垫,可将水珠顶住,形成接触角大于110度的漂亮水珠。
페이지 맨 위로 이동